為提高大型mbr再生水廠生物脫氮效率,降低外加碳源成本,從物料平衡的角度出發,研究同步硝化反硝化、生物合成、缺氧反硝化等因素對于生物脫氮的貢獻。并結合配水優化、水力負荷控制、內回流消氧等多種工藝管控手段,對某大型mbr再生水廠脫氮過程進行全面優化。結果表明,某水廠總氮的去除主要通過剩余污泥排放和缺氧反硝化兩個方面實現;以氨氮為指示物并配合進水閘門改造工作,能夠明顯提高生物池配水均勻度;建立物料平衡模型,并結合運行管控手段,某水廠在進水bod5/tn均值為2.75的情況下,系統脫氮效率為77%,進水總氮去除率為89%,并實現了2021年零碳源投加脫氮。
引言
北京市某再生水廠投產于2016年,處理規模為60萬m3/d,主體工藝采用aao-mbr工藝。污水由管網匯集進入廠前,經過30 mm粗格柵和10 mm中格柵后由提升泵提升至地下,流經4 mm細格柵、曝氣沉砂池、初沉池及1 mm膜格柵,然后進入生物池及mbr膜池。設計出水水質滿足《城鎮污水處理廠水污染物排放標準》(db 11/890-2012)b標準的相關要求。
本文從物料平衡的角度出發,對某水廠脫氮過程的關鍵控制因素進行研究,并結合配水優化、水力負荷控制、內回流消氧等多種工藝管控手段,開展某大型全地下mbr再生水廠低碳氮比下零碳源投加脫氮工作的探索與實踐。
1 mbr系統氮物料平衡研究
污水生物脫氮是指在活性污泥微生物的新陳代謝作用下,將污水中的含氮化合物轉化為n2而最終逸出到大氣的過程。一般來說,再生水廠氮的去除主要包括剩余污泥排放、好氧區同步硝化反硝化(snd)以及缺氧反硝化等方面。氮在污水處理系統內的平衡見式(1):

物料平衡可以更好地從數據層面分析污水處理系統氮的平衡轉換情況,為更好地實現污水脫氮過程提供依據。
1.1 剩余污泥排放
微生物在生長繁殖過程中,會攝取污水中一部分氮來合成自身細胞組分,采用《城鎮污水處理廠污泥檢驗方法》(cj/t 221-2005)第49章中的方法對剩余污泥中氮含量進行檢測,檢測時間為2020年,檢測結果見表1。

從檢測結果來看,剩余污泥組分的含氮量平均值約為4%。通過核算每日系統中排放的剩余污泥干固量,基本能夠確定從系統中排出的tn的含量。
1.2 同步硝化反硝化(snd)
同步硝化反硝化(snd)技術指的是硝化和反硝化過程在同一個反應器中同時發生,系統不需要明顯的缺氧時間段或缺氧分區而能將總氮脫除的技術。目前主要有3種理論來解釋:宏觀缺氧理論、微觀缺氧理論和微生物學理論,通過檢測生物池好氧段進出水總氮濃度變化,可近似得出系統內snd對于脫氮的貢獻。
再生水廠以3.75萬m3/d規模生物池為研究對象,控制該生物池污泥濃度為6 500 mg/l、水溫23 ℃、混合液回流比為500%、生物池好氧區前、中、后段do分別為1.5 mg/l、1.2 mg/l以及0.5 mg/l。對好氧段進出水的總氮濃度變化進行檢測,結果如圖1所示。

由檢測結果可知,再生水廠好氧段進出水tn差值的平均值為0.6 mg/l,基本不存在snd效果,主要原因為:
mbr系統由于其特殊性,污泥絮體常年較為松散,中位徑為41.43 μm(見圖2),無法滿足微觀缺氧環境;
生物池好氧區基本為完全混合狀態,進水端至出水端do基本處于1~2 mg/l,難以形成宏觀缺氧環境。
因此,在研究本廠生物脫氮時,不考慮snd的貢獻。

1.3 缺氧區反硝化脫氮
一般認為,反硝化脫氮主要受溫度、進水bod5/tn及回流比等因素的影響。再生水廠主要構筑物均為地埋式,冬季水溫可基本保證在15 ℃以上,反硝化效率受溫度的影響不大。因此,內回流比及進水bod5/tn成為影響反硝化效果的主要因素。
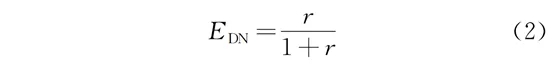
生物池內回流比大小直接決定脫氮效率。在假設生物硝化及反硝化效率均為100%的前提下,脫氮效率隨著內回流比的增大而增大,脫氮效率edn計算見式(2):

式中 r——內回流比。
然而在實際運行過程中,受回流液中do濃度的影響,反硝化效率很難達到理論值。如表2所示,再生水廠2021年1月至5月進水bod5/tn的平均值為2.75,低于2.86的理論值。日常該水廠生物池內回流比為350%左右,按照式(2)計算理想狀態下的脫氮效率為78%,在未投加外加碳源的情況下生物系統實際反硝化脫氮效率為77%(見表3)。考慮剩余污泥排放中攜帶的氮含量,進水總氮平均去除率為89%。


在進水bod5/tn低于理論值的情況下,本廠仍能實現較高的脫氮效率,主要原因有以下兩個方面:
因采用mbr工藝,污泥濃度日常控制在6 000~8 000 mg/l,污泥泥齡為40 d以上。較高的污泥濃度及污泥泥齡為內源反硝化提供了條件;
對于運行參數控制較為嚴格,通過控制水力負荷、回流液do濃度、優化配水均勻度等方式,提高碳源利用效率,該部分內容將在后文詳細闡述。
2 水廠實際運行過程中影響因素控制
再生水廠在實際運行中,受到內回流比、回流液do濃度、進水配水不均、水力負荷波動等因素的影響,脫氮過程并不能按照理想狀態發生,導致出水tn出現波動。因此,除了從物料平衡的角度研究脫氮過程,還需考慮配水均勻度、進水負荷等因素的影響,全方位把控脫氮過程。
2.1 水力負荷控制
受城市生產活動的影響,污水處理廠在實際運行過程中不同時段、季節來水水量呈規律性波動。水力負荷過低或水量時變化系數過大對回流液do濃度、內回流比等脫氮重點指標控制會帶來一定困難。以再生水廠2020年來水情況為例,水量峰谷差值比例超過50%(見圖3a),瞬時最低負荷僅為設計值的30%。不同月份水量差異也較為明顯,最低負荷僅為設計值的53%(見圖3c)。


再生水廠結合來水時變化及日變化規律,通過生物池及膜池間歇停運的方式(見表4),提高日水力負荷至70%以上。并充分利用上游污水管網調蓄功能,控制瞬時最低抽升量不低于運行曝氣池負荷的60%(見圖3b)。

生物池停運期間,還應加強對池內正磷酸鹽濃度變化的檢測。再生水廠在生物池停運期間,生物池內出現正磷酸鹽濃度升高的現象。主要發生時間為停運后的24~48 h內,停運生物池內正磷酸鹽濃度出現快速上升。在生物池恢復攪拌并投加一定濃度的聚氯化鋁(pac)后,生物池的正磷酸鹽濃度逐步恢復正常,隨后恢復產水。
分析主要是由于此座生物池停運期間,好氧區曝氣系統、內回流泵等設備均處于關閉狀態,池體內部攪拌不充分,導致生物池出現“無效釋磷”現象。已有研究表明,在沒有以vfa形式存在的能源可供微生物吸收時,所釋放的磷不能通過再曝氣得到微生物的重新吸收。在生物池恢復攪拌及回流后,正磷酸鹽快速下降,分析是由于重新開啟了曝氣及水下攪拌器等設備,富含pac的化學污泥對停運期間釋放的正磷酸鹽重新進行吸附和網補作用,使池內正磷酸鹽濃度迅速降低。
建議其他水廠在進行生物池停運工作時,應適當開啟攪拌器、推進器或微量曝氣,保證生物池一定的攪拌效果,停運時間不宜超過48 h,且應在停運生物池水質達標后再恢復產水。
2.2 生物池配水優化
在實際運行過程中,由于施工誤差、水力流態等因素影響,各池組之間存在配水不均問題。配水不均現象在大部分水廠運行過程中均有發生,大型水廠受到的影響更為突出。
某水廠生物池采用aao工藝(見圖4),配水不均導致各池組水力負荷及污染物負荷不一致,影響生物池脫氮效率。解決配水不均問題,提高生物池配水均勻度,有助于提高脫氮效率,降低運行成本。

在不考慮厭氧區和缺氧區氨氮濃度變化的情況下,以氨氮作為指示物,在固定回流量的前提下,化驗缺氧一段出水氨氮濃度,能夠確定定每座生物池進水比例。為方便運行人員開展配水作業,水廠將原有普通電動閘門改造為帶有刻度顯示的auma電動頭,并將開度信號上傳至遠程中控室上位機,實現閘門開度的精確調整。
如圖5所示,開展配水優化工作后,各生物池間進水均勻度明顯提升,同一系列各生物池間進水比例差值由33%降低至15%左右。

2.3 內回流溶解氧濃度控制
一般認為,在保證缺氧反硝化環境的前提下,適當增大內回流比可以獲得更低的出水總氮濃度,但受配水不均、水力負荷波動大等因素的影響,生物池好氧區末端do難以穩定控制在0.5 mg/l以下(見圖6a),導致內回流攜帶大量do破壞缺氧區反硝化環境。提高內回流比反而會導致回流至缺氧區do含量增多,需要更多的cod來抵消掉多余的do,影響脫氮效率。
通過配水優化、抽升控制、生物池倒運等方式,穩定生物池水力負荷。優化后,生物池do穩定性明顯提高(見圖6b),末端do濃度基本低于0.5 mg/l,滿足反硝化對于do濃度的要求,同時大大降低了回流液中的do對于進水碳源的浪費。

3 物料平衡體系在實際運行中的應用與反饋
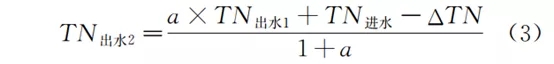
在滿足脫氮要求的前提下,內回流比對于脫氮的影響可以通過式(3)來表征。

式中 a——內回流比;
tn出水1——當日出水tn,mg/l;
tn進水——當時進水tn,mg/l;
tn出水2——次日出水tn,mg/l;
δtn——進水有機物及外加碳源等有機物對于脫氮的貢獻,mg/l。
以再生水廠2020年2月份的實際出水tn與物料平衡方程模擬出水tn進行對比,結果如圖7所示。

結果表明,模擬結果與實際出水tn濃度較為接近,相關性為0.67,在實際水廠運行中具有較強的相關性,該平衡方程式能夠較好的預測出水tn變化情況,并為實際生產提供指導。
通過對脫氮過程的物料平衡研究與運行優化控制,再生水廠的碳源利用率有明顯提升,逐步降低生化系統甲醇投配率并于2021年實現了低進水c/n比下的零碳源脫氮(見圖8)。

4 結論
(1)在大型mbr系統中,氮主要通過缺氧區反硝化和剩余污泥排放去除。某水廠剩余污泥中tn含量約為4%,每日剩余污泥排放中攜帶的tn含量約為8 mg/l。氮的去除主要在缺氧區通過反硝化過程去除,脫氮效率為77%。因泥齡較長,污泥絮體較松散,活性污泥絮體常年較為松散,中位徑為41.43 μm,基本不存在snd效果。
(2)再生水廠在實際運行過程中,應綜合考慮配水均勻度、水力負荷變化、內回流溶解氧濃度對脫氮過程的影響,通過優化生物池配水、生物池倒運、降低內回流溶解氧濃度等方式,提高脫氮效率。
(3)在再生水廠實際運行過程中,通過建立tn物料平衡方程式,能夠根據進水水質近似模擬出水tn濃度。物料平衡模擬結果與實際出水tn濃度較為接近,相關性為0.67,對實際生產具有指導意義。
(4) 通過建立氮的物料平衡模型,對工藝運行參數進行過程控制,再生水廠甲醇投配率逐漸降低,于2021年實現了碳源零投加。
來源:北極星水處理網








